欢迎光临星空体育在线官方网站!详情致电:0371-67993100 .
螺旋-填料组合密封的设计方案
根据泵的实际操作条件和要求 ,经过比较 ,选择矩形螺旋槽螺套式螺旋密封 ,其结构设计应满足下列参数 : d = 180mm,Δp = 1. 0 MPa (G) ,泵转 速 n = 18 r/ min (变化范围 2. 3~22. 1r/ min) ,熔融 聚合物在 180 ℃的粘度η= 10 ,600 Pa·s ,密度ρ= 940 kg/ m3。密封箱总长为 165 mm。

为保证停车密封效果 ,选择安装两圈软填料,每圈填料的轴向尺寸 22mm ,填料压盖的压入深度按一般选择原则预设为 10mm ,则螺旋密封总长度应为 L = 165 - 2 ×22 - 10 = 111mm。考虑密封介质端的无效螺旋长度、填料压盖压入填料函的必要深度和填料的压缩量 ,可以认为螺旋密封的有效长度 l = L - 11 = 100mm。
根据螺旋密封主要结构参数的有关选择原则和有关设计原则 ,并参考文献[9 ]提供的螺旋密封零件设计参数表 ,螺旋密封的其他有关参数选取如下:
a . 密封间隙δ≈0. 30 mm。
b. 螺旋头数 i 是根据公式 i ×l/ d > 3 选为 i = 6。
c. 相对槽宽系数 k1 = 0. 5。
d. 相对槽深系数 k2 选为 5 ,并由此求得螺 旋密封的螺旋角β= 8. 6°,槽深 h = 1. 2mm ,密封直径 D = 183mm。
e . 槽宽 s = 7. 0mm ,齿宽 B = s = 7. 0 mm。
f. 密封圆周速度 v = πdn/ 60 = 0. 17 m/ s。
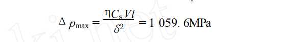
根据上述参数 ,可计算出螺旋密封在泵转速 n = 18 r/ min 时的较大密封能力Δpmax :

显然 ,尽管实际中还必须考虑到轴和衬套式 螺旋的加工误差、密封的安装误差和空气/ 熔体界面离开螺旋末端距离的安全限度 ,并因此必须从上式得到的计算值至少应减小 30 % ,但是上设计的螺旋密封其密封能力还是远远超过所需密封流体的实际压力值。所以 ,当螺旋密封按上述参数设计且密封有效长度 l = 100mm 时 ,完全能够保证密封达到零泄漏。
组合密封实用效果
经过实施改造方案半年多来 ,熔体泵运转状态良好 ,泄漏量在较初几个月几乎为零 ,目前的泄漏量也小于 0. 1 kg/ d ,远远低于 0. 5 kg/ d 的标准值 ,轴封寿命大大延长 ,消除了设备安全运行的隐患 ,从根本上解决了制约生产的难题。
熔体泵填料密封失效的根本原因是密封选型 不当;经过分析比较和实际应用 ,证明螺旋密封与填料密封的组合密封是熔体泵轴封的优先选择形式。提出的有关螺旋密封结构参数的设计方法是 合理、实用的 ,可以应用于类似熔体泵的螺旋密封设计 ,具有重要的工程使用价值。



地 址:郑州高新技术产业开发区长椿路11号5号楼A单元1层A1号、2层A2号
电 话:0371-67993100    67993021    67993022 
 
传 真:0371-67993200
手 机:18603711392    13613830727 
邮 箱:haikepump@126.com